Упр.100 ГДЗ Муравин 7 класс (Алгебра)
Решение #1

Рассмотрим вариант решения задания из учебника Муравин, Муравина 7 класс, Дрофа:
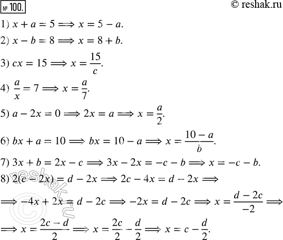
100. Выразите x из равенства:
1) x + а = 5; 5) a - 2x = 0;
2) x - b = 8; 6) bx + a = 10;
3) сx = 15; 7) 3x + b = 2x - c;
4) a/x = 7; 8) 2(c - 2x) = d - 2x.
*размещая тексты в комментариях ниже, вы автоматически соглашаетесь с пользовательским соглашением