Упр.691 ГДЗ Колягин Ткачёва 8 класс (Алгебра)
Решение #1

Рассмотрим вариант решения задания из учебника Колягин, Ткачёва, Фёдорова 8 класс, Просвещение:
691. Решить неравенство:
1) (x-2)(x^2-9)>0;
2) (x^2-1)(x+4)<0;
3) (x+3)(x-5)/(x+1)?0;
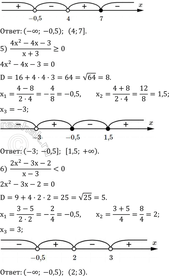
4) (x-7)/(4-x)(2x+1) ?0;
5) (4x^2-4x-3)/(x+3)?0;
6) (2x^2-3x-2)/(x-3)<0.
*размещая тексты в комментариях ниже, вы автоматически соглашаетесь с пользовательским соглашением